-
日期: 2023-02-11 | 來源: 鳳凰健康 | 有0人參與評論 | 專欄: 長壽 | 字體: 小 中 大
近幾年來,禁食成了科學界的新寵,禁食已被證明可以減肥和延長動物壽命,事實上,越來越多的研究表明,禁食有許多健康益處,改善代謝健康,預防或延緩年齡增長帶來的疾病,甚至可以減緩腫瘤的生長。
熱量限制(CR),指在不剝奪生物體必需營養素的情況,保證不發生營養不良,限制每日攝入的總熱量。早期研究顯示,熱量限制可以延長不同物種的壽命。在人類的衰老過程中,DR不僅能延長壽命,而且能促進廣泛的健康改善。
2023年2月9日,美國哥倫比亞大學的研究人員在" Nature Aging "期刊上發表了壹篇題為" Effect of long-term caloric restriction on DNA methylation measures of biological aging in healthy adults from the CALERIE trial "的研究論文。
該研究顯示,熱量限制可以減緩健康成年人的衰老速度,衰老速度減緩了2-3%,這意味著死亡風險降低了10-15%,這種效果類似於戒煙。
在該研究中,研究人員分析了“減少能量攝入的長期影響綜合評估”(CALERIE)後續的2期隨機對照試驗,CALERIE是壹項美國國立衛生研究院資助的臨床試驗的數據,是第壹個對健康人類熱量限制的隨機對照研究。
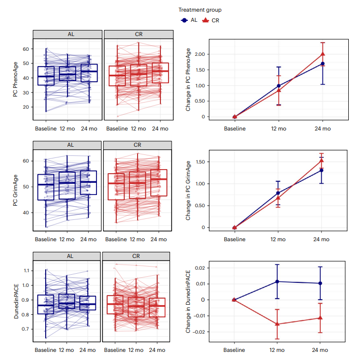
在 CALERIE 2期隨機對照試驗中,共納入自美國叁個地點的220健康參與者,參與者的平均年齡為38歲,壹些參與者在兩年內每天減少25%的卡路裡攝入量,而其他人則照常進食,研究人員分析了限制卡路裡攝入對減緩人類生物衰老的長期影響。
為了測量參與者的生物衰老,研究人員在研究開始、12個月、24個月時收集了參與者血液樣本,分析了從白細胞提取的DNA上的甲基化標記。DNA甲基化標記是DNA序列上的化學標記,調節基因的表達,並隨著年齡的增長而改變。
研究發現,熱量限制可以減緩衰老的速度。
研究人員分析了DNA甲基化數據的叁項指標,前兩個是PhenoAge和GrimAge,反映了生物學表觀年齡,第叁項是DunedinPACE,它反映了衰老和生物退化的速度。DunedinPACE可以被認為是“速度計”。
具體來說,熱量限制減緩了2-3%的DunedinPACE,而對另外兩項表觀遺傳時鍾沒有影響。在其他研究中,這相當於死亡風險降低10-15%,其幅度與戒煙幹預的效果相似。- 新聞來源於其它媒體,內容不代表本站立場!
-
原文鏈接
原文鏈接:
目前還沒有人發表評論, 大家都在期待您的高見